Take home messages
- A new isolate of ascochyta blight has virulence on previously resistant chickpea varieties and can cause complete crop loss in susceptible varieties.
- Botrytis grey mould was responsible for losses of up to 1.5t/ha ($650-$975/ha) in susceptible lentil varieties in 2016. Applying a preventative fungicide early and prior to canopy closure can minimise disease pressure and reduce losses.
- Fungicide application may prove beneficial to help minimise black spot in field peas in the Mallee, however further work is required to ensure profitability across a range of seasons.
Background
The Southern Pulse Agronomy program conducts a wide range of agronomic and variety pulse trials across all rainfall zones of Victoria and South Australia. Its primary aim is to improve yield and yield stability, ultimately leading to increased profitability and adoption of new varieties by growers.
Seasonal conditions in 2016 were particularly conducive to the development of crop diseases. This provided an opportunity to examine how chickpea, lentil and field pea varieties responded in a high disease pressure season.
Ascochyta blight in chickpeas
At Curyo in 2015, there were indications of a potential breakdown in resistance to ascochyta blight in chickpea trials. Subsequently a new pathotype was identified at the site which caused significant infection on previously resistant varieties such as Genesis090.
Trials in 2016 focused on identifying the potential yield loss from this new ascochyta blight pathotype on a range of varieties and new breeding lines.
Blackspot in field peas
Blackspot can be a major limitation to production in field peas and will increase in intensity as areas of production expand. Trials in SA in 2015 suggested there are opportunities to minimise the risk of blackspot by combining novel fungicide applications, with improvements in genetic resistance enhanced by plant morphological and architectural differences.
Research in 2016 investigated various fungicide strategies to minimise black spot in field peas.
Botrytis grey mould (BGM) in lentils
Botrytis grey mould was observed at Curyo in 2016 and was not controlled in an effort to gain a clear understanding of the relative resistance of varieties and breeding lines under high disease pressure.
The influence of sowing date (May 4 versus June 2) and seeding rate were also examined in this trial.
In this report, key results from selected trials conducted in the southern (Curyo) and central (Ouyen) Mallee 2016 are highlighted. Further details relating to trial methodology and other measurements recorded will be available in a detailed report by May 2017.
Aim
To improve yield and yield stability of pulse crops, ultimately leading to increased profitability and adoption of new varieties by growers.
Paddock details
| Location: | Curyo and Ouyen |
| Annual rainfall: | Curyo – 356mm, Ouyen – 335mm |
| GSR (Apr-Oct): | Curyo – 471mm, Ouyen – 410mm |
| Soil type: | Curyo – Sandy loam; Ouyen – Loamy sand |
| Crop types: | Lentils, chickpea and field pea varieties |
| Sowing dates: | Curyo – 4 May (2 June for delayed sowing lentil trial); Ouyen – 5 and 6 May |
| Sowing system: | Inter-row with narrow points and press wheels in a no-till system (row spacing: Ouyen – 30cm; Curyo – 36.5cm) |
| Harvest dates: | Curyo – November 29, 30 and December 1 (lentils and field peas) and December 22 (chickpea) Ouyen – November 9 (field peas), November 20 (lentils) and November 28 (chickpeas) |
Climate
Table 1. Temperatures and rainfall at Curyo 2016.

1. Long-term average at Warracknabeal (1969-2016).
Table 2. Temperatures and rainfall at Ouyen 2016.

Results and interpretation
Botrytis grey mould in lentils
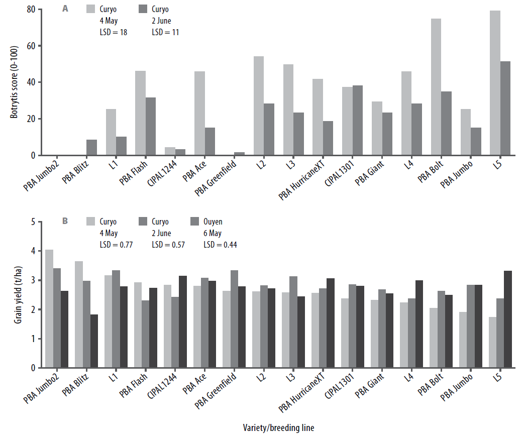
Due to the extremely high rainfall at Curyo in 2016 and the development of large canopies in lentils a moderate to severe outbreak of botrytis grey mould (BGM) was observed. No fungicides were applied to these trials to ensure a clear understanding of the relative resistance of varieties and breeding lines under high disease pressure. No disease was observed at Ouyen.
At Curyo, BGM damage scores were generally higher in the plots sown 4 May compared with those sown 2 June (Figure 1A). PBA Jumbo2 showed no obvious symptoms of disease at either sowing date consistent with its resistance rating of ‘R’. PBA Blitz, PBA Greenfield and the breeding line CIPAL1422 also showed little or no disease consistent with their ‘MR’ rating for BGM. The susceptible variety PBA Bolt and breeding line L5 were generally worst affected by BGM.
Grain yields ranged between 1.75 and 4.04t/ha at Curyo and 1.82 and 3.32t/ha at Ouyen (Figure 1B). At Curyo, PBA Jumbo2 was the highest yielding variety sown 4 May (4.04t/ha) and 2 June (3.40t/ha), but at Ouyen, its yield was mid-range (2.63t/ha) and significantly less than the breeding line L5 (3.32t/ha). Conversely, L5 was the lowest yielding line at Curyo (1.75, 4 May and 2.37t/ha, 2 June) indicative of its susceptibility to BGM.
PBA Bolt also performed relatively poorly due to its BGM susceptibility, with yields 50 per cent and 22 per cent less than PBA Jumbo2 at Curyo sown 4 May and 2 June, respectively.

Figure 1. Botrytis grey mould score (A) and grain yield (B) of lentil varieties and breeding lines sown at two sowing dates at Curyo and one date at Ouyen (grain yield only as no disease present) in 2016.
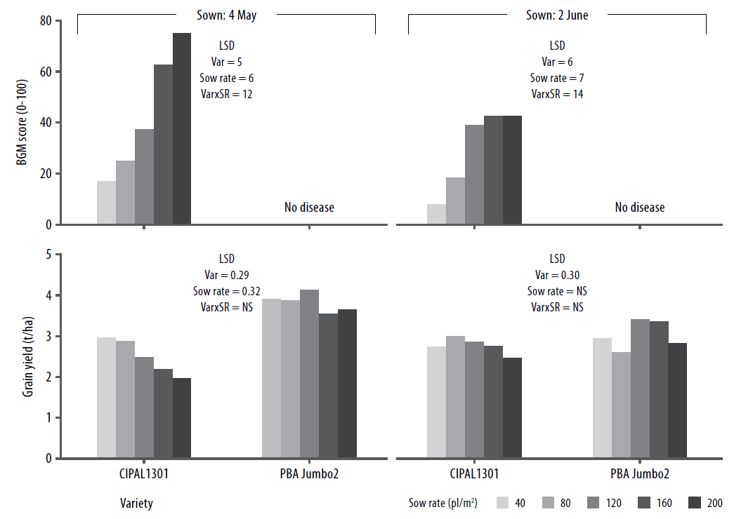
The seeding rate trials, showed a significant interaction between plant density and BGM intensity (Figure 2). When sown May 4 the moderately susceptible breeding line CIPAL1301 showed increasing levels of disease as plant density was increased. This correlated to decreasing yield with increased plant density, from 2.95t/ha at 40 plants/m2 to 1.95t/ha at 200 plants/m2. In comparison, PBA Jumbo2, had a smaller reduction in yield at the highest sowing rates 4.13t/ha at 120 plants/m2 to 3.54 and 3.65t/ha at 160 and 200 plants/m2, respectively.
When sown on June 2 CIPAL1301, still showed increasing levels of disease as plant density was increased, but this did not correlate with grain yields, which were not significantly different across sowing rates. PBA Jumbo2 showed highest yields at the 120 and 160 plants/m2 treatments.

Figure 2. The botrytis grey mould score and grain yield of CIPAL1301 and PBA Jumbo2 sown at five seeding rates and two sowing dates at Curyo in 2016.
Blackspot in field peas
Field pea trials at both were affected by P-Pickle T toxicity – a variety-specific phytotoxic response which can result in reduced vigour and establishment. While no major differences in establishment was noted between the untreated and treated seed in these trials, vigour was significantly reduced in Kaspa and moderately reduced in PBA Pearl and PBA Oura. PBA Coogee was not affected (data not shown).
Black spot infection early in the season was generally moderate at Curyo and low at Ouyen and did not progress significantly until September and October, around the period of extremely high rainfall, which coincided with flowering.
At both trial sites, application of fungicides significantly reduced black spot (Table 3), with the chlorothalonil and new-1 treatments, generally showing less disease than mancozeb.
At Curyo, PBA Coogee was the worst affected variety, showing significant disease symptoms in all treatments. However, at Ouyen, varietal responses were similar.
At both sites there was no interaction between fungicide application and variety for grain yields, so the only the main effect of fungicide is presented (Table 3).
At Curyo the chlorothalonil treatment resulted in approximately 30 per cent higher yield than all other treatments. Yields were relatively low at Curyo as there was waterlogging in parts of the trial. At Ouyen, however, there was no significant response to fungicide application, with excellent yields between 3.3 and 3.5t/ha.
These differential responses are likely to be related to the early intensity of disease which was higher at Curyo than Ouyen, causing greater reduction in yield. In addition, P-Pickle T toxicity, which was evident at both sites, is likely to have had an interaction with disease and yield response, so results should be treated with caution.
Estimated net return indicated that the use of fungicide to be a viable option at Curyo only when good disease control was maintained throughout the season. The treatments that were only applied at the eight-node and flowering stage were not adequate in a high disease pressure environment.
Table 3. Black spot score of field pea varieties with different fungicide management treatments and average grain yield and estimated net returns for each of the fungicide treatments across all varieties at Curyo and Ouyen in 2016. *Net return based on production costs of $250/ha + fungicide application and returns on grain of $320/t.

1. Ascochyta Score – a 1-9 scale was used at Curyo and 0-100 at Ouyen; 1 or 0 = no disease, 9 or 100 = crop death. 2. Fungicide treatments – Mancozeb and New-1 were applied at 8 Node and flowering, chlorothalonil was applied fortnightly. P-Pickle-T (PPT)
was applied to seed in all fungicide treatments except ‘nil’.
Aschchyta blight in chickpeas
At Curyo, in late July a significant outbreak of ascochyta blight was observed in all chickpea trials (Table 4). Symptom assessment indicated that this isolate of ascochyta was the same as observed in 2015, having virulence on resistant lines such as Genesis090 and PBA Slasher. Stem breakages were observed in all varieties, with symptoms scores ranging from 4.8 for CICA1454 to 9.0 for PBA Striker and Howzat (ie. plots dead). Genesis090 was moderately susceptible with a score of 6.3.
It was also noted that most of the susceptible to very susceptible varieties and breeding lines were a desi seed type, while the most resistant varieties and breeding lines were kabuli’s (Table 4).
Despite the high levels of disease observed, several varieties and breeding lines were able to partially recover during November and December to produce adequate grain yield (Table 4). Disease scores were generally well correlated with the relative yield loss observed.
The yields in the fortnightly fungicide treatment were lower than could be expected given the rainfall, ranging from 2.06t/ha for Neelam to 0.99t/ha for Kalkee. This is likely to be related to the excessive biomass that was produced prior to flowering and the ongoing cold conditions during the reproductive phase, which meant many flowers and pods were aborted. The desi’s were generally higher yielding than the kabuli’s.
In the ‘nil’ fungicide treatment grain yields ranged from 1.48t/ha for CICA1454 to zero for Howzat and PBA Striker. All desi varieties and breeding lines suffered yield loss greater than 70 per cent, except c3 at 25 per cent.
Conversely, many kabuli’s showed no statistically significant loss, although for all varieties and breeding lines, except Kalkee and CICA1454, yields were less in the ‘nil’ treatment compared with ‘fortnight fungicide’. The results highlight the ability of chickpeas to recover from disease, once conditions dry out.
In addition, the disease reduced leaf area and biomass and delayed pod set, thus resulting in yields similar to the fortnightly treatment for some varieties and breeding lines.
Further investigation is ongoing to understand the impact of ascochyta blight on seed quality.
Table 4. Ascochyta blight disease score (Oct 25) in the ‘nil’ fungicide treatment and grain yield of chickpeas in the ‘nil’ and ‘fortnightly’ (8 sprays) fungicide treatment at Curyo in 2016. Underlined values indicate statistically significant reduction compared with the fortnightly.

Commercial practice
Lentils
Good disease management is critical to maximise the yield and quality of lentils, particularly when growing varieties with resistance rating less than ‘R’. It is estimated that in the susceptible variety, botrytis grey mould resulted in a yield loss of 1-1.5t/ha ($650-$975/ha).
Applying the appropriate preventative fungicide early and prior to canopy closure can minimise disease pressure and reduce losses.
New lines with consistently high yields, herbicide tolerance, good biomass, disease resistance and earlier maturity similar will be available in the next few years.
Field peas
Fungicide application may prove beneficial to help minimise black spot in field peas in the Mallee, however further work is required to refine application timing and products to ensure profitability across a range of season.
Fungicide seed dressing is becoming more common in field peas and has been previously shown to assist with disease control. However, in these trials it was highlighted that growers should be careful if they wish to apply P-Pickle-T as it can cause phytotoxic affects in some varieties. In the trials a Ouyen and Curyo, Kaspa was severely affected, but this may be indicative of the poorer seed quality of this variety from the 2015 drought. Growers should always use the best quality, disease free seed that is available.
Chickpeas
The virulence of the new isolate of ascochyta blight was assessed at Curyo and confirmed to cause significant symptoms (including stem breakages) on all varieties and breeding lines. Grain yield loss in the most susceptible varieties and breeding lines was up to 100 per cent, however the level of resistance in a number of kabuli’s including Gensis090, means that the disease can still be proactively managed with fungicides to ensure profitable grain yields are produced.
Growers are encouraged to closely monitor all chickpeas crops in 2017 and use an early preventative fungicide strategy to minimise risks of disease, and prevent ongoing re-infection throughout the season.
Acknowledgements
This research was funded by GRDC, AgVic and SARDI (DAV00150).
Contact details
Dr Jason Brand
Senior Research Agronomist – Pulses, DEDJTR, 110 Natimuk Rd, Horsham, Victoria 3401
M: 0409 357 076; E: jason.brand@ecodev.vic.gov.au
Twitter: @JasonBrand